Magnus documents: Form ADV  | Form CRS  | Privacy Policy

Topical Research – Gold Market Trends

Long-Term Trends

Growth Charts

Gold has trailed stocks, but outpaced bonds for more than 50 years

Growth of gold, stocks, bonds from 1968 to 2022.

Gold miners have outperformed most asset classes since stocks bottomed in mid October, suggesting a short-term correction would not be unusual

Stock and gold price growth trends, October 2022 to January 2023.

Returns from Key Dates

Near term risks of a correction given gold has been the third best performing asset class, trailing only midstream energy and commodity futures, since markets peaked in January last year

Asset class returns comparison table from 2000 to 2022.

U.S. Stocks-to-Gold Ratio

Priced in gold, stocks are yet to regain their Tech Bubble highs

Dow Jones to Gold ratio chart from 1901-2021.

Priced in gold, stocks are yet to regain Tech Bubble highs

S&P 500 vs Gold Spot growth chart 1979-2023.

Gold Vs. Monetary Base

Assuming the price of gold tracks global monetary base per capita over the long term implies expected returns over 6%

Gold price and monetary base per capita trends graph.

Market Trends

Yield Rates

Real yields (CPI), which historically have had a strong inverse correlation with the price of gold, are still deep in negative territory, albeit off the lows and trending higher

Graph of U.S. real yields using CPI, 2000-2024.

Based on TIPS-implied inflation, real yields have moved into positive territory

Graph of U.S. real yields from 2004 to 2022.

The recent move higher in gold may be explained by long-term real yields topping out as well as expectations that the Fed will pivot on short rates

Gold price and debt yield trends, 2017-2023 chart.

Despite the intra-year volatility, longer-term returns for gold have been surprisingly consistent across multiple currencies

Currency performance table from 2000 to 2022.

Gold has recently broken out to the upside against the GBP and the JPY, nearing breakouts in EUR, CNY, CAD; returns in USD less significant

Gold price growth trends in various currencies, 2008-2023.

Priced in U.S. stocks, gold still looks cheap

Gold vs S&P 500 and U.S. Treasuries growth chart.

Miners vs Physical

Gold miners still look relatively attractive vs. physical

Gold and mining index growth chart, 1983-2023.

Spec positioning in gold futures has increased modestly over recent months, but nowhere near stretched, suggesting recent rally may have legs

Chart showing gold prices and open interest trends.

Spec positioning in silver futures has increased modestly over recent months, but nowhere near stretched, suggesting recent rally may have legs

Silver prices and open interest from 2013 to 2023.

Gold futures market has continued to move deeper into contango (which is normal), implying increased carry costs

Gold price and futures trend 2017-2023.

Gold-to-Silver Ratio

Despite recent rally, silver still appears attractively priced relative to gold

Gold/Silver Ratio Chart 1995-2023

Historical Corrections

Gold’s correction following the post-COVID rebound remains within the range of historical drawdowns that occurred within bull markets

Gold price corrections over multiple historical periods.

Stock Market Declines

Gold has had mixed, but generally positive, returns during stock market declines

Historical market corrections comparison chart.

Significant Market Events

Gold has had mixed historical returns during other significant market events

Historical financial crises and market stress comparison graph.

Gold Returns During High Inflation

Gold has a decent track record as an inflation hedge, but it is by no means a portfolio panacea during these episodes

Inflation growth comparison over time, various periods shown.

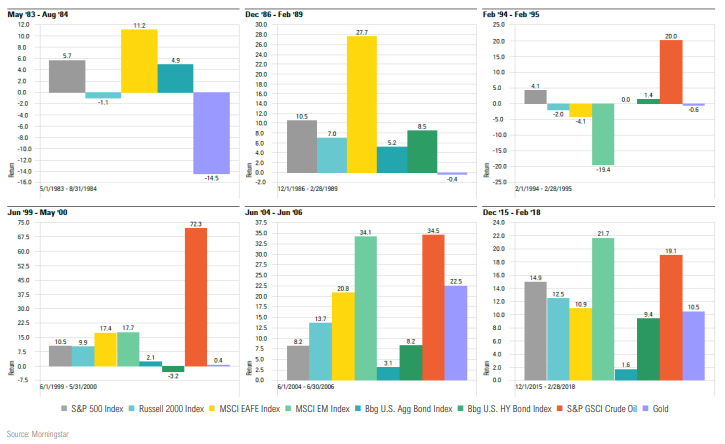
Case Study 1

Stock Market Declines

Case study 1: gold returns during stock market declines

Investment index performance during various market crises chart.

Case Study 2

Significant Market Events

Case study 2: gold returns during significant market events

Bar chart of market index performance during crises.

Case Study 3

Rising Inflation

Case study 3: gold returns during periods of rising inflation

Financial index performance graphs from 1983 to 2018.

Appendix

Rolling Correlations

Graph of gold correlation with stocks, bonds, inflation.

Correlation Matrix

Asset class correlation matrix table, multiple categories.

Share it :
Disclaimer

Magnus Financial Group LLC (“Magnus”) did not produce and bears no responsibility for any part of this report whatsoever, including but not limited to any microeconomic views, inaccuracies or any errors or omissions. Research and data used in the presentation have come from third-party sources that Magnus has not independently verified presentation and the opinions expressed are not by Magnus or its employees and are current only as of the time made and are subject to change without notice.

This report may include estimates, projections or other forward-looking statements, however, due to numerous factors, actual events may differ substantially from those presented. The graphs and tables making up this report have been based on unaudited, third-party data and performance information provided to us by one or more commercial databases. Except for the historical information contained in this report, certain matters are forward looking statements or projections that are dependent upon risks and uncertainties, including but not limited to factors and considerations such as general market volatility, global economic risk, geopolitical risk, currency risk and other country-specific factors, fiscal and monetary policy, the level of interest rates, security-specific risks, and historical market segment or sector performance relationships as they relate to the business and economic cycle.

Additionally, please be aware that past performance is not a guide to the future performance of any manager or strategy, and that the performance results and historical information provided displayed herein may have been adversely or favorably impacted by events and economic conditions that will not prevail in the future. Therefore, it should not be inferred that these results are indicative of the future performance of any strategy, index, fund, manager or group of managers. Index benchmarks contained in this report are provided so that performance can be compared with the performance of well-known and widely recognized indices. Index results assume the re-investment of all dividends and interest and do not reflect any management fees, transaction costs or expenses.

The information provided is not intended to be, and should not be construed as, investment, legal or tax advice nor should such information contained herein be construed as a recommendation or advice to purchase or sell any security, investment, or portfolio allocation. An investor should consult with their financial advisor to determine the appropriate investment strategies and investment vehicles. Investment decisions should be made based on the investor’s specific financial needs and objectives, goals, time horizon and risk tolerance. This presentation makes no implied or express recommendations concerning the way any client’s accounts should or would be handled, as appropriate investment decisions depend upon the client’s specific investment objectives.

Investment advisory services offered through Magnus; securities offered through third party custodial relationships. More information about Magnus can be found on its Form ADV at www.adviserinfo.sec.gov.

Terms of Use
This report is intended solely for the use of its recipient. There is a fee associated with the access to this report and the information and materials presented herein. Re-distribution or republication of this report and its contents are prohibited. Expert use is implied.
Definitions

Asset class performance was measured using the following benchmarks: U.S. Large Cap Stocks: S&P 500 TR Index; U.S. Small & Micro Cap: Russell 2000 TR Index; Intl Dev Large Cap Stocks: MSCI EAFE GR Index; Emerging & Frontier Market Stocks: MSCI Emerging Markets GR Index; U.S. Intermediate-Term Muni Bonds: Bloomberg Barclays 1-10 (1-12 Yr) Muni Bond TR Index; U.S. Intermediate-Term Bonds: Bloomberg Barclays U.S. Aggregate Bond TR Index; U.S. High Yield Bonds: Bloomberg Barclays U.S. Corporate High Yield TR Index; U.S. Bank Loans: S&P/LSTA U.S. Leveraged Loan Index; Intl Developed Bonds: Bloomberg Barclays Global Aggregate ex-U.S. Index; Emerging & Frontier Market Bonds: JPMorgan EMBI Global Diversified TR Index; U.S. REITs: MSCI U.S. REIT GR Index, Ex U.S. Real Estate Securities: S&P Global Ex-U.S. Property TR Index; Commodity Futures: Bloomberg Commodity TR Index; Midstream Energy: Alerian MLP TR Index; Gold: LBMA Gold Price, U.S. 60/40: 60% S&P 500 TR Index; 40% Bloomberg Barclays U.S. Aggregate Bond TR Index; Global 60/40: 60% MSCI ACWI GR Index; 40% Bloomberg Barclays Global Aggregate Bond TR Index.

Contact Us

    You are now leaving the Magnus Financial Group Website and will be entering the Charles Schwab & Co., Inc. (“Schwab”) Website.

    Schwab is a registered broker-dealer, and is not affiliated with Magnus Financial Group or any advisor(s) whose name(s) appears on this Website. Magnus Financial Group is/are independently owned and operated. Schwab neither endorses nor recommends Magnus Financial Group. Regardless of any referral or recommendation, Schwab does not endorse or recommend the investment strategy of any advisor. Schwab has agreements with Magnus Financial Group under which Schwab provides Magnus Financial Group with services related to your account. Schwab does not review the Magnus Financial Group Website(s), and makes no representation regarding the content of the Website(s). The information contained in the Magnus Financial Group Website should not be considered to be either a recommendation by Schwab or a solicitation of any offer to purchase or sell any securities.