Magnus documents: Form ADV  | Form CRS  | Privacy Policy

Topical Research – Gold Market Trends

LONG-TERM TRENDS

GROWTH CHARTS

Gold has trailed stocks, but outpaced bonds for more than 50 years

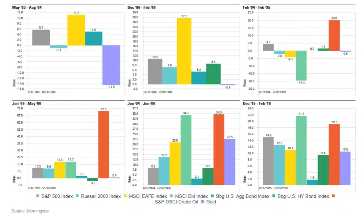
RETURNS FROM KEY DATES

After strong returns out of the pandemic lows, gold has trailed since the vaccine announcements, only recently outperforming

U.S. STOCKS-TO-GOLD RATIO

U.S. large cap stocks-to-gold ratio for over 100 years

LONG-TERM TRENDS

Priced in gold, stocks are yet to regain Tech Bubble highs

MARKET TRENDS

Real yields, which historically have had a strong inverse correlation with the price of gold, are at the lowest level of the last 40 years…

…but the relationship between real yields and gold has broken down in recent months, possibly as investors look past the expended rate hike cycle

Despite the year-to-year volatility, longer-term returns have been surprisingly consistent across multiple currencies

The longer-term trend appears intact despite drawdown across several major currencies

Gold looks cheap relative to U.S. stocks and doesn’t look overbought/stretched relative to Treasuries

MINERS VS. PHYSICAL

Gold miners still look very cheap relative to bullion

Gold futures sentiment has recently picked up as the gold price has rebounded

Silver sentiment trending lower as prices make lower highs and lower lows

High demand for physical hints at increased perceived systemic risk

GOLD-TO-SILVER RATIO

No clear excesses in the price of gold relative to silver after epic extreme in pandemic liquidation

HISTORICAL CORRECTIONS

Assuming March was the low, the correction that ended last year was run-of-the-mill relative to historical bull market declines

STOCK MARKET DECLINES

Gold has had mixed, but generally positive returns during stock market declines; current environment confirming its value as a hedge

SIGNIFICANT MARKET EVENTS

Gold, however, has mixed historical returns during other significant market events

GOLD RETURNS DURING HIGH INFLATION

Gold has a decent track record as an inflation hedge, but it is by no means a portfolio panacea during these episodes

CASE STUDIES 1

STOCK MARKET DECLINES

Case study 1: gold returns during stock market declines

CASE STUDIES 2

SIGNIFICANT MARKET EVENTS

Case study 2: gold returns during significant market events

CASE STUDIES 3

RISING INFLATION

Case study 3: gold returns during periods of rising inflation

APPENDIX

ROLLING CORRELATIONS

CORRELATION MATRIX

Share it :
Disclaimer

Magnus Financial Group LLC (“Magnus”) did not produce and bears no responsibility for any part of this report whatsoever, including but not limited to any microeconomic views, inaccuracies or any errors or omissions. Research and data used in the presentation have come from third-party sources that Magnus has not independently verified presentation and the opinions expressed are not by Magnus or its employees and are current only as of the time made and are subject to change without notice.

This report may include estimates, projections or other forward-looking statements, however, due to numerous factors, actual events may differ substantially from those presented. The graphs and tables making up this report have been based on unaudited, third-party data and performance information provided to us by one or more commercial databases. Except for the historical information contained in this report, certain matters are forward looking statements or projections that are dependent upon risks and uncertainties, including but not limited to factors and considerations such as general market volatility, global economic risk, geopolitical risk, currency risk and other country-specific factors, fiscal and monetary policy, the level of interest rates, security-specific risks, and historical market segment or sector performance relationships as they relate to the business and economic cycle.

Additionally, please be aware that past performance is not a guide to the future performance of any manager or strategy, and that the performance results and historical information provided displayed herein may have been adversely or favorably impacted by events and economic conditions that will not prevail in the future. Therefore, it should not be inferred that these results are indicative of the future performance of any strategy, index, fund, manager or group of managers. Index benchmarks contained in this report are provided so that performance can be compared with the performance of well-known and widely recognized indices. Index results assume the re-investment of all dividends and interest and do not reflect any management fees, transaction costs or expenses.

The information provided is not intended to be, and should not be construed as, investment, legal or tax advice nor should such information contained herein be construed as a recommendation or advice to purchase or sell any security, investment, or portfolio allocation. An investor should consult with their financial advisor to determine the appropriate investment strategies and investment vehicles. Investment decisions should be made based on the investor’s specific financial needs and objectives, goals, time horizon and risk tolerance. This presentation makes no implied or express recommendations concerning the way any client’s accounts should or would be handled, as appropriate investment decisions depend upon the client’s specific investment objectives.

Investment advisory services offered through Magnus; securities offered through third party custodial relationships. More information about Magnus can be found on its Form ADV at www.adviserinfo.sec.gov.

Terms of Use
This report is intended solely for the use of its recipient. There is a fee associated with the access to this report and the information and materials presented herein. Re-distribution or republication of this report and its contents are prohibited. Expert use is implied.
Definitions

Asset class performance was measured using the following benchmarks: U.S. Large Cap Stocks: S&P 500 TR Index; U.S. Small & Micro Cap: Russell 2000 TR Index; Intl Dev Large Cap Stocks: MSCI EAFE GR Index; Emerging & Frontier Market Stocks: MSCI Emerging Markets GR Index; U.S. Intermediate-Term Muni Bonds: Bloomberg Barclays 1-10 (1-12 Yr) Muni Bond TR Index; U.S. Intermediate-Term Bonds: Bloomberg Barclays U.S. Aggregate Bond TR Index; U.S. High Yield Bonds: Bloomberg Barclays U.S. Corporate High Yield TR Index; U.S. Bank Loans: S&P/LSTA U.S. Leveraged Loan Index; Intl Developed Bonds: Bloomberg Barclays Global Aggregate ex-U.S. Index; Emerging & Frontier Market Bonds: JPMorgan EMBI Global Diversified TR Index; U.S. REITs: MSCI U.S. REIT GR Index, Ex U.S. Real Estate Securities: S&P Global Ex-U.S. Property TR Index; Commodity Futures: Bloomberg Commodity TR Index; Midstream Energy: Alerian MLP TR Index; Gold: LBMA Gold Price, U.S. 60/40: 60% S&P 500 TR Index; 40% Bloomberg Barclays U.S. Aggregate Bond TR Index; Global 60/40: 60% MSCI ACWI GR Index; 40% Bloomberg Barclays Global Aggregate Bond TR Index.

Contact Us

    You are now leaving the Magnus Financial Group Website and will be entering the Charles Schwab & Co., Inc. (“Schwab”) Website.

    Schwab is a registered broker-dealer, and is not affiliated with Magnus Financial Group or any advisor(s) whose name(s) appears on this Website. Magnus Financial Group is/are independently owned and operated. Schwab neither endorses nor recommends Magnus Financial Group. Regardless of any referral or recommendation, Schwab does not endorse or recommend the investment strategy of any advisor. Schwab has agreements with Magnus Financial Group under which Schwab provides Magnus Financial Group with services related to your account. Schwab does not review the Magnus Financial Group Website(s), and makes no representation regarding the content of the Website(s). The information contained in the Magnus Financial Group Website should not be considered to be either a recommendation by Schwab or a solicitation of any offer to purchase or sell any securities.